Un sistema de ecuaciones contiene varias ecuaciones para ser resueltas al mismo tiempo y puede tener varias incógnitas en cada ecuación.
¿Cómo podemos resolver de forma sencilla un sistema de dos ecuaciones con dos incógnitas?
I. Definiciones
1. Sistema de ecuaciones con dos incógnitas
Un sistema de dos ecuaciones de primer grado con dos incógnitas tiene esta estructura:
donde x e y son incógnitas.
a, b, c, d, e y f son valores conocidos que cumplen la siguiente condición: a o b ≠ 0 y d o e ≠ 0.
Ejemplo:
es un sistema de dos ecuaciones de primer grado con dos incógnitas.
2. Resolver un sistema de ecuaciones
Decimos que un par de valores (u, v) es solución de un sistema de ecuaciones si las igualdades de ambas se cumplen cuando sustituimos x por u e y por v en cada ecuación.
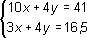
Ejemplo: queremos comprobar si el par (2, –1) es una solución de este sistema: ![]()
Sustituyendo x por 2 e y por –1, obtenemos:
, es decir, ![]()
Las igualdades de ambas ecuaciones son ciertas, por lo que podemos afirmar que el par (2, –1) es la solución de este sistema.
Nota: el orden de los números en el par ordenado es importante. Por ejemplo, si expresamos la solución como (–1, 2) estaríamos equivocados, ya que la solución correcta es (2,-1). Esto es así porque la primera componente de un par ordenado siempre hace referencia a la x, mientras que la segunda componente se refiere siempre a la y.
II. Métodos de resolución
1. Método de sustitución
Podemos explicar este método mediante un ejemplo.
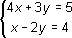
Resuelve este sistema de ecuaciones: ![]()
—Tomamos una de las dos ecuaciones para expresar una de las incógnitas en función de la otra. Por ejemplo, vamos a expresar la x en función de y usando la primera ecuación.
Despejando la x en la primera ecuación, el sistema quedaría así: ![]()
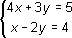
—A continuación, sustituimos la x de la segunda ecuación por el valor que hemos obtenido en la primera (2y + 3). Por eso llamamos a este método de “sustitución”.
De manera que ahora tenemos el sistema de la siguiente forma:![]()
—Observa que la segunda ecuación ha quedado como una ecuación de primer grado con una incógnita, la y, la cual podemos resolver (reservaremos su valor para utilizarlo más tarde en la primera ecuación). El proceso de simplificación y resolución de la segunda ecuación quedaría así:
;
;
; ![]()
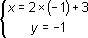
—Ahora que hemos encontrado el valor de la y, lo sustituimos en la primera ecuación para obtener el valor de x:
, es decir: ![]()
La solución de este sistema de ecuaciones es (1, –1).
2. Método de reducción
Explicaremos este método mediante un ejemplo.
Resuelve este sistema de ecuaciones: ![]()
—Multiplicamos por 2 los dos miembros de la primera ecuación, de manera que tengamos el mismo coeficiente para la y en ambas ecuaciones.
El sistema quedaría así:
.
—Ahora, si restamos las dos ecuaciones, observaremos cómo la incógnita desaparece en ambas:
Observa:
y si despejamos:
.
—Ya solo nos queda sustituir este valor en cualquiera de las dos ecuaciones iniciales para obtener el resultado de la y.
Tomamos el sistema desde el principio
y sustituimos la x en cualquiera de ellas :
;
;
;
;
;
.
La solución del sistema es (3,5, 1,5).
3. Método de igualación
Explicaremos este método mediante un ejemplo.
Resuelve este sistema de ecuaciones: ![]()
—Despejamos la misma incógnita en ambas ecuaciones. La que queramos, por ejemplo la y: 
—Como las dos ecuaciones son iguales a y, igualamos el segundo miembro de ambas y construimos así una ecuación de primer grado con una incógnita:![]()
Simplificamos y resolvemos para hallar x:
;
;
;
;
.
—Solo nos queda sustituir este valor en cualquiera de las ecuaciones del sistema
y obtendremos el valor para y:
;
;
;
.
La solución del sistema es (–1, 3).
Nota 1: los tres métodos, sustitución, reducción e igualación, pueden ser usados para resolver cualquier sistema de ecuaciones. Sin embargo, dependiendo de las ecuaciones, nos interesará elegir un método u otro, según cuál nos resulte más sencillo de utilizar.
Nota 2: cuando nos encontremos con que algunos de los coeficientes de las ecuaciones sean fraccionarios, es conveniente reducir las fracciones a común denominador y eliminar denominadores antes de empezar a aplicar cualquiera de los tres métodos.
Sistema de ecuaciones
Resolver un sistema de ecuaciones con dos incógnitas
Resolver ecuaciones e inecuaciones lineales
Escribir el texto de un problema como ecuación (1)
Resolver un sistema de ecuaciones con dos incógnitas implica encontrar los valores de ambas incógnitas que satisfacen simultáneamente ambas ecuaciones. A continuación, te mostraré cómo resolver un ejemplo de sistema de ecuaciones con dos incógnitas:
Ejemplo de sistema de ecuaciones:
Consideremos el siguiente sistema de ecuaciones:
- 2x + y = 7
- 3x - 2y = 1
Para resolver este sistema, utilizaremos el método de sustitución o el método de eliminación. En este caso, utilizaremos el método de sustitución.
Paso 1: Aislamos una de las variables en una de las ecuaciones. Por ejemplo, aislamos "y" en la primera ecuación:
- y = 7 - 2x
Paso 2: Sustituimos el valor de "y" obtenido en el paso anterior en la segunda ecuación:
- 3x - 2(7 - 2x) = 1
Paso 3: Resolvemos la ecuación resultante para encontrar el valor de "x":
- 3x - 14 + 4x = 1 7x - 14 = 1 7x = 15 x = 15 / 7 x = 2.14 (aproximadamente)
Paso 4: Finalmente, sustituimos el valor de "x" obtenido en la primera ecuación para encontrar el valor de "y":
- y = 7 - 2(2.14) y = 7 - 4.28 y = 2.72 (aproximadamente)
Solución: El sistema de ecuaciones tiene como solución x = 2.14 y y = 2.72.
Recuerda que existen diferentes métodos para resolver sistemas de ecuaciones, como el método de sustitución, el método de eliminación y el método de matrices. El método que elijas dependerá de la situación y de tus preferencias.