Para resolver una ecuación o inecuación lineal con una incógnita, aislamos el término que contiene la incógnita en un miembro de la ecuación o inecuación. Ahora vamos a estudiar cómo hallar la solución de dos ecuaciones o dos inecuaciones a la vez. Esta situación ocurre cuando queremos resolver un sistema de ecuaciones o inecuaciones, un producto de ecuaciones o inecuaciones, o una ecuación o inecuación con valores absolutos.
I. Resolver un sistema de inecuaciones de primer grado con una incógnita
Para resolver un sistema de inecuaciones de primer grado con una incógnita, resolvemos cada una de las inecuaciones, obteniendo para cada una un intervalo como solución. A continuación, buscamos la intersección o parte común de esos dos intervalos. Si existe, es la solución del sistema de inecuaciones.
Ejemplo:
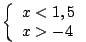
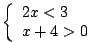
Queremos resolver el sistema de inecuaciones
.
Estas inecuaciones se pueden simplificar, quedando
.
El conjunto solución del sistema de inecuaciones es la intersección de los dos intervalos:
, es decir,
. (Para obtener la intersección es útil representar ambos intervalos.)
II. Resolver un sistema de ecuaciones de primer grado con dos incógnitas
Existen tres métodos para resolver estos sistemas de ecuaciones: sustitución, igualación y reducción.
—Si una de las incógnitas tiene un coeficiente de 1 o -1, es preferible usar el método de sustitución.
En una de las ecuaciones despejamos la incógnita cuyo coeficiente es 1 o -1 en función de la otra incógnita, y a continuación sustituimos la expresión de esa incógnita en la segunda ecuación.
Ejemplo:
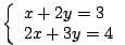
En el sistema de ecuaciones
, si expresamos x en función de y en la primera ecuación, obtenemos el sistema siguiente:
.
Ahora sustituimos x por
en la segunda ecuación, resultando:
, que simplificando queda
, de donde podemos calcular el valor de y, y sustituirlo en la primera ecuación para obtener x:
.
Es decir, la solución del sistema es: x = -1, y = 2.
—Si una de las incógnitas tiene de coeficientes 1 o –1 en las dos ecuaciones, es preferible usar el método de igualación.
En las dos ecuaciones despejamos la incógnita cuyo coeficiente es 1 o -1 en función de la otra incógnita, y a continuación igualamos las expresiones obtenidas.
Ejemplo:
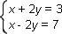
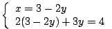
En el sistema de ecuaciones
, si expresamos x en función de y en las dos ecuaciones, obtenemos el sistema siguiente:
.
Igualando ambas expresiones, resulta: 3 - 2y = 7 + 2y, de donde -2y – 2y = 7 – 3.
Operando con esta igualdad, obtenemos el valor de la variable y: -4y = 4, de donde y = -1.
Sustituyendo este valor en cualquiera de las dos expresiones anteriores de x, resulta: x = 3 - 2·(-1) = 3 + 2 = 5.
Así pues, la solución del sistema es: x = 5, y = -1.
—Si los coeficientes de las incógnitas son distintos de 1 o de -1, usamos el método de reducción para no tener que operar con fracciones.
Este método consiste en lograr que los coeficientes de una de las dos incógnitas sean iguales, pero con signos opuestos en las dos ecuaciones. Para ello, multiplicamos cada ecuación por el número que convenga para lograr que ambas tengan una de las variables con el mismo coeficiente cambiado de signo. Al sumarlas después, se anulará esa incógnita, quedando una ecuación con la otra incógnita, ecuación que ya podemos resolver.
Llevando el valor obtenido a una cualquiera (la más sencilla) de las dos ecuaciones iniciales, obtendremos el valor de la otra incógnita.
Ejemplo:
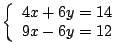
En el sistema de ecuaciones
, multiplicamos los términos de la primera ecuación por 2 y los de la segunda por 3, resultando:
.
Sumando ahora ambas ecuaciones obtenemos: 13x =16, de donde x = 2.
Y sustituyendo este valor en la primera ecuación: 2·2 + 3y = 7, de donde 3y = 3, resultando y = 1.
La solución del sistema es pues: x = 2, y = 1.
—Un sistema de ecuaciones puede no tener solución o tener infinitas soluciones.
Sea el sistema de ecuaciones
en el que los coeficientes de x y de y son proporcionales, es decir,
, de donde
. Este sistema no tiene solución o tiene infinitas soluciones:
—Si
, entonces el sistema anterior no tiene solución.
—Si
(los coeficientes de las dos ecuaciones son proporcionales), entonces el sistema tiene infinitas soluciones.
III. Efectuar un producto de ecuaciones o inecuaciones de primer grado
Para resolver una ecuación que es producto de dos monomios, hallamos los valores que anulan cada uno de los factores (sus raíces).
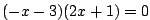
Así,
tiene dos soluciones, para
y para
.
Resolviendo cada una de estas dos ecuaciones obtenemos las dos soluciones: x = -3, x = -0,5.
Para hallar el conjunto de soluciones de un producto de inecuaciones, usamos una tabla de signos.
Ejemplo:
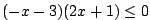
Para resolver la inecuación
, estudiamos el signo de cada factor.
La función f(x) = -x - 3 es decreciente porque su pendiente es negativa, m = -1. Para valores de x menores que (a la izquierda de) x = -3, los correspondientes valores de y sonpositivos; para valores de x mayores que (a la derecha de) x = -3, los valores de y son negativos.
La función f(x) = 2x + 1 es creciente porque su pendiente es positiva, m = 2. Para valores de x menores que (a la izquierda de) x = -0,5, los correspondientes valores de y son negativos; para valores mayores que (a la derecha de) x = -0,5, los valores de y son positivos.
El signo del producto viene dado por la regla de los signos al multiplicar:

El producto de los factores es, por tanto, negativo o cero en los intervalos
y
.
El conjunto solución de la inecuación es la unión de estos dos intervalos. Por tanto,
.
IV. Resolver una ecuación o una inecuación con valores absolutos
Para resolver una ecuación con valores absolutos, nos basamos en que dos números iguales pero con signos opuestos tienen el mismo valor absoluto.
Si
,
implica que
o
.
Por ejemplo, de la ecuación
se deduce que
o
.
De donde: x = 5 o x = -1, que son las soluciones de la ecuación.
Gráficamente, se trata de averiguar qué dos puntos de la recta real distan 3 unidades del valor 2.
Para resolver una inecuación con valores absolutos, se plantean dos casos diferentes.
Cuando
,
es equivalente a
.
Por ejemplo,
es la misma expresión que
, de donde se obtiene que
. Por tanto, el conjunto de soluciones es el intervalo
.
Gráficamente, se trata de averiguar qué puntos de la recta real distan dos unidades o menos del valor -3.
Cuando
,
es equivalente a
o
.
Por ejemplo,
es lo mismo que
o
, de donde se obtiene que
o
.
Por tanto, el conjunto de soluciones es:
.
Gráficamente, se trata de averiguar qué puntos de la recta real distan dos unidades o más del valor -3.
Recuerda
—Para resolver un sistema de inecuaciones tenemos que obtener los valores comunes a los conjuntos que son la solución de cada inecuación. Hallamos pues la intersección de estos conjuntos (representada por el símbolo
). Ver también el artículo Resolver inecuaciones lineales con una incógnita.
—Un sistema de ecuaciones de primer grado con dos incógnitas solo tiene una pareja de soluciones si los coeficientes de las incógnitas no son proporcionales. Si los coeficientes de ambas ecuaciones son proporcionales, el sistema tiene infinitas parejas de soluciones.
—Para resolver una ecuación que es producto de monomios, hallamos las raíces de cada uno de los factores del producto. En el caso de una inecuación, usamos una tabla de signos para deducir el intervalo o unión de intervalos que son la solución.
—Se puede interpretar la expresión
como la distancia entre un punto M de abscisa igual a x y un punto A de abscisa igual a a sobre la recta real. Esta interpretación nos permite resolver gráficamente ecuaciones e inecuaciones que contienen valores absolutos.
Inecuaciones
Resolver ecuaciones e inecuaciones lineales
Resolver inecuaciones lineales con una incógnita
Resolver ecuaciones e inecuaciones lineales es un proceso fundamental en álgebra. A continuación, te mostraré cómo resolver algunos ejemplos:
Resolución de ecuaciones lineales:
- Ecuación: 2x + 5 = 11 Solución: Restamos 5 de ambos lados para despejar "x": 2x = 11 - 5 2x = 6 Dividimos ambos lados por 2 para obtener "x": x = 6 / 2 x = 3 Solución: x = 3
- Ecuación: 3y - 7 = 10 Solución: Sumamos 7 a ambos lados para despejar "y": 3y = 10 + 7 3y = 17 Dividimos ambos lados por 3 para obtener "y": y = 17 / 3 Solución: y = 17/3
Resolución de inecuaciones lineales:
- Inecuación: 2x - 4 < 10 Solución: Sumamos 4 a ambos lados para despejar "x": 2x < 10 + 4 2x < 14 Dividimos ambos lados por 2, recordando invertir el sentido de la desigualdad al dividir por un número negativo: x < 14 / 2 x < 7 Solución: x < 7
- Inecuación: 5y + 3 ≥ 8 Solución: Restamos 3 de ambos lados para despejar "y": 5y ≥ 8 - 3 5y ≥ 5 Dividimos ambos lados por 5: y ≥ 5 / 5 Solución: y ≥ 1
Recuerda que al resolver ecuaciones, buscamos encontrar el valor de la variable que satisface la igualdad, mientras que al resolver inecuaciones, buscamos encontrar el intervalo o conjunto de valores que hacen que la desigualdad sea verdadera.
Si tienes más ecuaciones o inecuaciones que resolver o cualquier otra pregunta sobre álgebra, no dudes en decírmelo. ¡Estoy aquí para ayudarte en tus cálculos algebraicos!
Mas informacion en : Ecuaciones lineales y cuadraticas Estadistica y Probabilidad , introduccion, desarrollo y ejercicios Concepto de plano cartesiano Radicacion Teorema de pitagoras su demostracion y ejemplos Trigonometria basica y sus elementos