Sabemos que la representación gráfica de una función lineal del tipo f(x) = ax o y = ax es una recta que pasa por el origen de coordenadas. Pero, ¿qué sabemos acerca de la representación gráfica de una función del tipo f(x) = ax + b o y = ax + b, también llamada función afín?
I. Ejemplo
Usemos una gráfica para representar la función afín f(x) = 3x + 1.
Sea Oxy un sistema de coordenadas cartesianas; para cada valor que demos a x en el eje de abscisas, y tracemos el valor correspondiente de y, obtendremos un punto.
Por ejemplo, si x = 1, f(1) = 4. Lo cual nos da el punto de coordenadas (1, 4).
Es una buena idea usar una tabla como la que mostramos debajo. En la tabla, hemos elegido valores al azar para x.

Dibujando los puntos en los ejes de coordenadas, obtenemos la gráfica de la figura 1.

Podemos observar que los puntos A, B, C y D se encuentran todos en la misma recta.
De hecho, el resto de los puntos que queramos representar usando esta función, estarían todos formando parte de la misma recta. La recta es la representación gráfica de la función afín f(x) = 3x + 1.
II. Propiedades y definiciones
La representación gráfica de una función afín es una recta.
La representación gráfica de una función afín del tipo f(x) = ax + b es la recta de ecuación y = ax + b; a recibe el nombre de pendiente de la recta y b es conocida como la ordenada en el origen de la recta.
La ordenada en el origen es el valor que toma la función en el punto donde la recta corta al eje de ordenadas —eje y—. Para x = 0 obtenemos que y = a · 0 + b, es decir, y = b. Estos valores se corresponderían en la gráfica con el punto cuya coordenada fuera (0, b), tal como se muestra en la figura 2. Esto significa que el valor b de la función nos informa del lugar del eje de ordenadas en el que se produce el corte con la recta.

Ejemplo: la representación gráfica de la función afín f(x) = 3x + 1 es la recta de ecuación y = 3x + 1. Esta recta tiene una pendiente de 3 y el valor de la ordenada en el origen es 1.
Nota: existe un caso especial, en el cual b = 0 y entonces la función afín f(x) = ax + b se transforma en la función lineal f(x) = ax. En este caso, la representación gráfica de la función lineal f(x) = ax sería una recta de pendiente a que cortaría a los ejes de coordenadas por el origen (0, 0), ya que el valor de y en el origen es 0.
III. Método de construcción
Ya sabemos que las funciones afines se representan gráficamente mediante una recta; por este motivo necesitamos encontrar al menos las coordenadas de dos puntos de la recta para poder trazarla.
Puesto que también sabemos que la recta de una función del tipo y= ax + b corta al eje de ordenadas por el punto (0, b), tan solo tenemos que encontrar un punto más. Y esto lo podemos conseguir dando un valor aleatorio a la x para obtener así su correspondiente valor para la ordenada.
IV. Usar la representación gráfica para interpretar la pendiente
Propiedad: si tenemos una función afín f(x) = ax + b, para cualquier valor de x1 y x2 (x1 ≠ x2), se cumple que:

Esta expresión la podemos interpretar afirmando que la pendiente de una recta es el incremento de la ordenada (y), cuando la abscisa (x) se incrementa en una unidad. En otras palabras, la ecuación anterior establece una ratio o razón que compara el desplazamiento vertical (cuánto “sube”) de la recta por cada valor de x que nos desplazamos horizontalmente.
Vamos a usar el siguiente ejemplo para interpretar esta propiedad gráficamente.
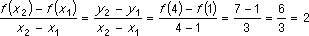
Consideremos la función afín f(x) = 2x – 1.
Primero creamos una tabla de valores de y dados por la función, y obtenemos así cuatro puntos de la recta que representa gráficamente a la función:

Escogemos dos valores cualesquiera x1 y x2 de x. Por ejemplo x1= –2 y x2 = 0 y calculamos la relación

. Y obtenemos:

En la gráfica, 0 – (–2) se corresponde con el crecimiento que experimenta el valor de x desde el punto A hasta el punto B, y f(0) – f(–2) se corresponde con el crecimiento en el valor de y desde el punto A hasta el punto B.
Ahora hacemos x1= 1 y x2 = 4, y obtenemos:

Comprobamos que esta relación es también igual a 2. Este valor es la pendiente de la recta que representa gráficamente a la función y = 2x – 1.
Podemos observar esta propiedad de la pendiente en la figura 3.

Graficos
Estudio gráfico de una función
Interpretar una gráfica
Representación gráfica de una función a fin
Representación gráfica de una función lineal
Representar cualquier valor de una coordenada x sobre un eje
Representar un punto en los ejes de coordenadas
Una función afín tiene la forma "y = mx + b", donde "m" y "b" son constantes que determinan la pendiente e intersección con el eje "y", respectivamente. Para graficar una función afín, sigue estos pasos:
- Identifica la pendiente (m) y la ordenada al origen (b): La pendiente "m" representa la inclinación de la recta, y la ordenada al origen "b" indica el punto donde la recta corta al eje "y".
- Ubica la ordenada al origen: En el plano cartesiano, localiza el punto (0, b) en el eje "y". Este punto es donde la recta cruza el eje vertical.
- Usa la pendiente para trazar la recta: La pendiente "m" determina cómo la recta se inclina en el plano cartesiano. Si "m" es positiva, la recta se inclinará hacia arriba de izquierda a derecha. Si "m" es negativa, la recta se inclinará hacia abajo de izquierda a derecha. La magnitud de "m" representa cuánto se desplaza la recta verticalmente por cada unidad que se desplaza horizontalmente.
- Grafica más puntos: Utiliza la pendiente para ubicar más puntos en la recta. Por ejemplo, si "m" es 2, desde el punto (0, b) mueve 1 unidad hacia la derecha y 2 unidades hacia arriba para ubicar otro punto. Continúa este proceso para obtener más puntos en la recta.
- Dibuja la recta que conecta los puntos: Una vez que tengas varios puntos, dibuja una línea recta que pase por todos ellos. La recta debe extenderse más allá de los puntos graficados para indicar que la función es continua y válida para todos los valores de "x".
Recuerda que la representación gráfica de una función afín es una línea recta en el plano cartesiano.
Por ejemplo, si tienes la función "y = 2x + 3", ubica el punto (0, 3) en el eje "y". Desde ese punto, mueve 1 unidad hacia la derecha y 2 unidades hacia arriba para ubicar otro punto. Repite este proceso para obtener más puntos en la recta y, finalmente, dibuja una línea recta que pase por todos ellos.