Una función que contiene un término en el que la variable está elevada al cuadrado, o una función que es cociente de dos funciones afines se puede pasar a su forma “canónica” y expresarla como la composición de varios operadores, determinando los intervalos en los que cada uno de estos operadores es creciente o decreciente.
1. Estudio de una función con una incógnita elevada al cuadrado
Si en una función la incógnita está elevada al cuadrado, la función se escribe en forma canónica:
. Esta forma nos permite volver a escribir la función como la composición de una serie de operadores y hallar sus imágenes sucesivas.
Ejemplo:
Si f es el polinomio
, lo podemos expresar como
.
Buscamos ahora que dentro del paréntesis quede un cuadrado perfecto (el cuadrado de una suma). Para ello, desarrollamos:
.
Así pues, obtenemos: ![]()
o ![]()
por tanto,
.
Comprobamos que la función f, definida en el intervalo [-5, 2] como
, alcanza su valor mínimo f(x) = –3,5 cuando el paréntesis elevado al cuadrado es cero, lo que sucede para x = -1,5.
La tabla de variación es:
Completamos una tabla de valores para dibujar la curva:

II. Resolución de una ecuación o una inecuación con una incógnita elevada al cuadrado
Para resolver una ecuación que contiene un término con la incógnita elevada al cuadrado, la convertimos en una expresión de la forma
. Puesto que al elevar al cuadrado dos números iguales pero con signos opuestos se obtiene el mismo resultado,
es equivalente a
o
.
Ejemplo:
La expresión
equivale a x - 1 = 3, de donde x = 4, o a x - 1 = -3, de donde x = -2. El conjunto de soluciones es S = {-2, 4}.
Para resolver una inecuación que contiene un término con la incógnita elevada al cuadrado pasamos todos los términos a un miembro y, si es posible, factorizamos en producto de factores de primer grado.
Podemos entonces determinar el conjunto de soluciones usando una tabla de signos.
Ejemplo:
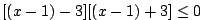
Para resolver
hacemos
.
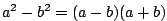
Puesto que una diferencia de cuadrados es igual a suma por diferencia,
, tendremos:
, que queda
.
Usando una tabla de signos:
Vemos que el producto es negativo o cero en el intervalo [-2, 4], por tanto, S = [-2, 4].
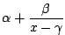
III. Estudio de una función cociente de dos funciones afines
Si una función es igual al cociente de dos funciones afines, la escribimos en forma canónica como
. Esta forma nos permite escribir la función como la composición de una serie de operadores y hallar sus imágenes sucesivas.
Ejemplo:
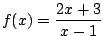
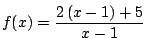
Si f es una función definida en [1,5, 6] como
, podemos escribir
, es decir,
.
La función f, definida en [1,5, 6] como
, es decreciente en todo su intervalo de definición, ya que al descomponerla en operadores,
, aparece la función inversa o recíproca, que es siempre decreciente.
Dibujamos la curva a partir de una tabla de valores:
IV. Resolución de una ecuación o una inecuación con la incógnita en el denominador
—En el caso de una ecuación, multiplicamos en cruz para eliminar los denominadores.
Ejemplo:
Si
, resolver la ecuación
es equivalente a resolver
.
Operando:
, o
, de donde x = 3.
El conjunto de soluciones es S = {3}.
—En el caso de una inecuación, pasamos todos los términos a un miembro y, si es posible, la expresamos como un cociente de factores de primer grado. A partir de ahí podemos deducir el conjunto de soluciones usando una tabla de signos.
Ejemplo:
Si
, resolver la inecuación
es equivalente a resolver
.
Reduciendo a común denominador, obtenemos:
, o
.
Finalmente, usamos una tabla de signos:
El cociente es negativo o cero en el intervalo (0, 3], de forma que
.
Recuerda
—La tabla de variación de una función con una incógnita elevada al cuadrado se construye a partir de la forma canónica
. Si
, el coeficiente del término elevado al cuadrado, es negativo, entonces
es un máximo y se alcanza para
. Si
es positivo, entonces
es un mínimo y también se alcanza para
.
—La ecuación
tiene dos soluciones:
o
.
—Para resolver una inecuación con la incógnita elevada al cuadrado, pasamos todos los términos a uno de los dos miembros de la inecuación. Descomponiendo la expresión resultante en factores de primer grado, podemos usar una tabla de signos para determinar el conjunto de soluciones.
—Para resolver una ecuación en la que la incógnita está en el denominador, multiplicamos en cruz, para eliminar los denominadores.
—Para resolver una inecuación con la incógnita en el denominador, pasamos todos los términos a un miembro. Expresando el numerador y el denominador como producto de factores de primer grado, podemos usar una tabla de signos para determinar el conjunto de soluciones. Tenemos que tener cuidado y excluir del conjunto de soluciones aquellos valores que anulan el denominador.
Funciones
Calcular una función afín
Definir una función afín
Definir una función lineal del tipo_y=ax_o_f(x)=ax
Estudio gráfico de una función
Funciones y cálculos con expresiones algebraicas
Funciones y=x2ey=1 entre x
Funciones
Representación gráfica de una función a fin
Representación gráfica de una función lineal
Las funciones y los cálculos con expresiones algebraicas son conceptos fundamentales en matemáticas que nos permiten modelar y resolver una amplia variedad de problemas. A continuación, exploraremos estos conceptos y cómo se utilizan en el ámbito algebraico:
Funciones: Una función es una relación matemática entre dos conjuntos, generalmente llamados dominio y codominio. Cada elemento del dominio se asigna a un único elemento del codominio. La notación típica para una función es "f(x)", donde "f" es el nombre de la función y "x" es el valor de la variable independiente.
Las funciones pueden representarse mediante expresiones algebraicas o gráficamente. Por ejemplo, la función lineal f(x) = 2x + 3 representa una relación donde cada valor de "x" se multiplica por 2 y luego se le suma 3.
Cálculos con Expresiones Algebraicas: Las expresiones algebraicas son combinaciones de variables, números y operadores matemáticos. Los cálculos con expresiones algebraicas implican realizar operaciones como suma, resta, multiplicación, división, simplificación, entre otras, para encontrar el valor numérico o la forma simplificada de una expresión.
Ejemplo 1 - Función y Cálculos: Consideremos la función f(x) = 3x^2 - 2x + 5. Para calcular el valor de "f(x)" cuando "x" es igual a 2, simplemente sustituimos el valor en la expresión:
f(2) = 3(2)^2 - 2(2) + 5 f(2) = 3(4) - 4 + 5 f(2) = 12 - 4 + 5 f(2) = 13
El valor de "f(2)" es 13.
Ejemplo 2 - Cálculos con Expresiones: Simplifiquemos la expresión algebraica 4x^2 + 6x + 2 - 2x^2 + 3x - 1:
(4x^2 + 6x + 2) - (2x^2 + 3x - 1)
Para simplificarla, agrupamos términos similares:
(4x^2 - 2x^2) + (6x + 3x) + (2 - 1)
Simplificando:
2x^2 + 9x + 1
La expresión simplificada es 2x^2 + 9x + 1.
Las funciones y los cálculos con expresiones algebraicas son herramientas esenciales para resolver problemas en matemáticas, ciencias y muchas otras áreas. Estos conceptos nos permiten modelar situaciones reales, realizar cálculos complejos y obtener resultados significativos.