Una ecuación de segundo grado es aquella ecuación en la que la incógnita está elevada al cuadrado. Pero para que esta afirmación sea cierta, la ecuación tiene que estar simplificada al máximo. Por ejemplo, la ecuación (x - 7)² - (1 + x)² = 2(3x - 4) no es de segundo grado, ya que si la simplificamos obtenemos una ecuación de primer grado: 49 – 14x – 1 – 2x = 6x – 8. Es decir, la x2 desaparece durante la simplificación. Entonces, ¿cómo podemos saber si una ecuación es de segundo grado?
I. Definición y tipos
1. Definición
Una ecuación de segundo grado es aquella en la que la incógnita aparece elevada al cuadrado, es decir, no tiene términos de mayor grado. Y al simplificarla, su forma más compleja siempre se podrá expresar según esta estructura: ax2 + bx + c = 0.
Cuando una ecuación de segundo grado la expresamos de esta forma, decimos que la hemos escrito en su forma general.
Notas:
—a, b y c son valores numéricos conocidos y reciben el nombre de coeficientes.
—El coeficiente a ≠ 0.
—El coeficiente c también recibe el nombre de término independiente.
—Resolver una ecuación de segundo grado consiste en encontrar las raíces del polinomio del primer miembro de la ecuación (escrita en su forma general). En otras palabras, encontrar cuáles son los valores de x que hacen que el valor numérico de la expresión sea cero.
2. Ecuaciones de segundo grado incompletas
Al igual que sucede con los polinomios, puede ocurrir que en una ecuación de segundo grado falte alguno de sus términos. No por ello deja de ser una ecuación de grado dos, mientras conserve el término ax2. Es decir, si los coeficientes b o c toman el valor cero estaremos ante una ecuación de segundo grado incompleta.
Ecuación de segundo grado incompleta del tipo ax2 = 0. Podemos escribir esta ecuación de la forma siguiente: x · (a · x) = 0. De lo que deducimos que x = 0, o a · x = 0, y como a ≠ 0, entonces x = 0. Es decir, esta ecuación tiene dos soluciones, que son la misma: x = 0.
Ecuación de segundo grado incompleta del tipo ax2 + bx = 0. Resolvemos sacando factor común a x; de ese modo obtenemos que x · (ax + b) = 0. Si observamos esta expresión, tenemos dos factores que multiplicados son igual a cero, por lo que tenemos dos posibles soluciones:
—que x sea cero: por lo tanto ya tenemos una de las soluciones, x1 = 0;
—que ax + b = 0: por lo que ax = –b; por lo tanto, la otra solución será:![]()
Ejemplo: resuelve la siguiente ecuación de segundo grado: 4x2 – 12x = 0.
Solución: sacando factor común a x, x · (4x – 12) = 0, de donde:
Ecuación de segundo grado incompleta del tipo ax2 + c = 0. Resolvemos despejando: ax2 = –c;
; ![]()
Por lo que obtenemos dos posibles soluciones:
Ejemplo: resuelve la siguiente ecuación de segundo grado: 7x2 – 28 = 0.
Solución:
3. Ecuación de segundo grado completa
Ya hemos visto que la forma general de una ecuación de segundo grado completa es ax2 + bx + c = 0.
Vamos a intentar resolverla. Para ello, vamos a realizar dos operaciones aparentemente arbitrarias, pero que tienen como objetivo dejar el primer miembro de la ecuación como el desarrollo del cuadrado de una suma. Es decir, como una expresión del tipo: a2 + b2 + 2ab.

Ejemplo 1: resuelve la siguiente ecuación de segundo grado: 6x2 – x – 1 = 0.
Solución:

Las soluciones de la ecuación 6x2 – x – 1 = 0, son:

Ejemplo 2: resuelve esta ecuación de segundo grado:![]()
Solución:
—Simplificamos la ecuación hasta dejarla expresada en su forma general:
; x · (6x + 16) = 9 + x; 6x2 + 16x = 9 + x; 6x2 + 16x – x – 9 = 0; 6x2 + 15x – 9 = 0
—Aplicamos la fórmula:
![]()
![]()
![]()
Y obtenemos:

—Las soluciones de la ecuación
, son:

4. Análisis del discriminante y los tipos de soluciones de una ecuación de segundo grado
Se denomina discriminante al radicando de la fórmula general. Es decir, la expresión contenida dentro de la raíz cuadrada que forma parte de la fórmula: b2 – 4 · a · c.
El valor del radicando de la raíz cuadrada va a condicionar el posible resultado de la misma. Un rápido análisis del valor de esta expresión, del discriminante, nos puede dar mucha información acerca de cómo van a ser las soluciones de la ecuación que tengamos delante. Veamos:
—Si el valor numérico del discriminante es mayor que cero, entonces la raíz cuadrada se podrá
calcular. La raíz cuadrada tendrá dos soluciones y, por lo tanto, la ecuación también tendrá dos soluciones.
—Si el discriminante es cero, la ecuación tendrá una sola solución. Ya que solo dependerá del valor de
.
—Si el valor del discriminante es negativo, ya hemos visto que la raíz cuadrada no tendría solución y en consecuencia la ecuación tampoco.
Ejemplo 1: comprueba cuántas soluciones tiene la ecuación x2 – x – 6 = 0.
Solución: calculamos el valor del discriminante: (–1)2 –4 · 1 · (–6) = 1 + 24 = 25. Se trata de un número mayor que cero, por lo que la ecuación tendrá dos soluciones diferentes.
Ejemplo 2: comprueba cuántas soluciones tiene la ecuación 3x2 – 6x + 3 = 0.
Solución: calculamos el valor del discriminante: (–6)2 – 4 · 3 · 3 = 36 – 36 = 0. La raíz cuadrada de cero es cero, luego la solución quedaría:![]()
Es decir, esta ecuación tiene una sola solución, el 1.
Ejemplo 3: analiza cuántas soluciones tiene la ecuación 5x2 - 2x + 1 = 0.
Solución: calculamos el valor del discriminante: (–2)2 – 4 · 5 · 1 = 4 – 20 = – 16. La raíz cuadrada de –16 no tiene solución, luego esta ecuación no tiene solución en el conjunto de los números reales.
II. Propiedades de las soluciones de una ecuación de segundo grado
1. Suma de las soluciones de una ecuación de segundo grado
Ya hemos visto que en una ecuación de segundo grado, x1 y x2 son:
Vamos a ver qué ocurre cuando las sumamos:
; expresamos con un solo denominador:
; reordenamos el numerador:
; sumamos, teniendo en cuenta que:
= 0. Luego, nos queda:
.
Por lo tanto, la suma de las soluciones de una ecuación de segundo grado es:![]()
Ejemplo: dada la ecuación 3x2 + 2x + 1 = 0, calcula el valor de la suma de sus soluciones.
Solución: como sabemos que
, entonces:![]()
2. Producto de las soluciones de una ecuación de segundo grado
Tenemos que las soluciones de una ecuación de segundo grado son:
Vamos a ver qué ocurre cuando las multiplicamos:
; multiplicamos:
; tenemos en el numerador una suma por una diferencia (diferencia de cuadrados):
; resolvemos:![]()
Por lo tanto, el producto de las soluciones de una ecuación de segundo grado es:![]()
Ejemplo: dada la ecuación 3x2 + 2x + 1 = 0, calcula el valor del producto de sus soluciones.
Solución: como sabemos que
, entonces:![]()
3. Dadas las soluciones de una ecuación de segundo grado, construir la ecuación
Vistas las dos propiedades anteriores:
El uso de estas propiedades nos permitirá construir una ecuación conociendo sus soluciones. Vamos a verlo con un ejemplo.
Ejemplo 1: escribe una ecuación de segundo grado que tenga por soluciones:![]()
Aplicando la propiedad de la suma, tenemos que:
; ![]()
Aplicando la propiedad del producto:
; ![]()
tenemos que calcular los tres coeficientes de la ecuación a partir de estas dos igualdades:
Para ello, damos un valor cualquiera a a, por ejemplo a = 3, y obtenemos b = –16 y c = 5.
Por lo tanto, una ecuación de segundo grado que tiene las siguientes soluciones:![]()
será: 3x2 – 16x + 5 = 0.
Podemos comprobarlo resolviendo la ecuación:
Nota: también podemos escribir una ecuación de segundo grado si nos dan una de las soluciones y uno de los coeficientes de la ecuación.
Ejemplo 2: escribe una ecuación de segundo que tenga por solución x1 = 5 y cuyo coeficiente de x, b, sea igual a –3.
Por la propiedad de la suma de las soluciones, sabemos que:
; ![]()
Por la propiedad del producto, podemos escribir que:
; ![]()
Igualando las dos ecuaciones, tenemos que:
;
;
Es decir, c = 15 – 25a. Y si hacemos a = 1, entonces: c = 15 – 25; c = -10.
La ecuación podría ser: x2 – 3x – 10 = 0.
III. Interpretación gráfica de las soluciones de una ecuación de segundo grado
Al igual que ocurría con las ecuaciones de primer grado, las cuales podían ser representadas gráficamente como funciones lineales o afines, las ecuaciones de segundo grado también pueden ser representadas en los ejes de coordenadas cartesianas.
Cuando una ecuación de segundo grado es expresada en forma de función (f(x) = ax2 + bx + c), recibe el nombre de función cuadrática. Veamos mediante un ejemplo las principales características de la función cuadrática.
Ejemplo: representa la función:
.
Solución: creamos una tabla de valores para la función y la representamos gráficamente:
Notas:
—Como podemos comprobar, la representación gráfica de una función cuadrática es una curva, a la que llamamos parábola.
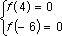
—También podemos apreciar el valor de la abscisa de los puntos (–6, 0) y (4, 0), allí donde la parábola corta al eje de abscisas. Se trata de los valores de x que hacen que el valor de la función sea cero:![]()
Es decir, serían las soluciones de la ecuación correspondiente de segundo grado.
—Si observamos el lugar donde la parábola corta al eje de ordenadas, comprobaremos que se trata del punto (0, –12). Y el valor –12 es, precisamente, el valor del término independiente de la ecuación de segundo grado.
Por último, vamos a resolver analíticamente la ecuación de segundo grado para comprobar la validez de las soluciones obtenidas gráficamente:


Ecuaciones de 2do Grado
Resolver una ecuación de segundo grado
Resolviendo Ecuaciones de Segundo Grado
Las ecuaciones de segundo grado son ecuaciones algebraicas que involucran una variable elevada al cuadrado, y se expresan en la forma ax^2 + bx + c = 0, donde "a", "b" y "c" son coeficientes conocidos y "x" es la variable desconocida que buscamos resolver.
Resolver una ecuación de segundo grado implica encontrar los posibles valores de "x" que satisfacen la igualdad. Aquí están los pasos que debes seguir para resolver este tipo de ecuaciones:
- Usar la fórmula general: Existe una fórmula general que se utiliza para resolver ecuaciones de segundo grado, conocida como la fórmula cuadrática. Esta fórmula es:x = (-b ± √(b^2 - 4ac)) / 2aDonde "±" significa que debes considerar ambas soluciones, una con el signo más y otra con el signo menos.
- Identificar los coeficientes: Identifica los valores de "a", "b" y "c" en la ecuación ax^2 + bx + c = 0. Estos valores te permitirán aplicar la fórmula cuadrática.
- Calcular el discriminante: El discriminante es la parte bajo el radical en la fórmula cuadrática, es decir, b^2 - 4ac. Este valor determinará la naturaleza de las soluciones:a) Si el discriminante es mayor que cero (b^2 - 4ac > 0), entonces hay dos soluciones reales y distintas para "x". b) Si el discriminante es igual a cero (b^2 - 4ac = 0), entonces hay una solución real doble para "x". c) Si el discriminante es menor que cero (b^2 - 4ac < 0), entonces no hay soluciones reales para "x". Las soluciones serán complejas.
- Calcular las soluciones: Utiliza la fórmula cuadrática para calcular las soluciones de "x" basándote en el valor del discriminante.
Ejemplo: Resolvamos la ecuación 2x^2 - 5x + 2 = 0.
- Identificamos los coeficientes: a = 2, b = -5, c = 2
- Calculamos el discriminante: Discriminante = b^2 - 4ac Discriminante = (-5)^2 - 4(2)(2) Discriminante = 25 - 16 Discriminante = 9
- Interpretamos el discriminante: El discriminante es mayor que cero (9 > 0), lo que significa que hay dos soluciones reales y distintas para "x".
- Calculamos las soluciones: Utilizando la fórmula cuadrática: x = (-(-5) ± √(9)) / (2 * 2) x = (5 ± 3) / 4Por lo tanto, las dos soluciones para "x" son: x1 = (5 + 3) / 4 = 8 / 4 = 2 x2 = (5 - 3) / 4 = 2 / 4 = 0.5
- Resultado: Las soluciones para la ecuación 2x^2 - 5x + 2 = 0 son x = 2 y x = 0.5.
Espero que este artículo te haya sido de ayuda y que ahora tengas una mejor comprensión de cómo resolver ecuaciones de segundo grado utilizando la fórmula cuadrática. Si tienes más preguntas o necesitas más ejemplos, no dudes en consultarme. ¡Estoy aquí para ayudarte en tus estudios matemáticos!
Ecuaciones de 1er Grado
Resolver ecuaciones del tipo a+x = b o ax =b.
Encontrar el número que falta en una operación
Resolver ecuaciones del tipo a/x =b
Resolver una ecuación del tipo (ax+b)(cx+d)=0
Escribir el texto de un problema como ecuación