I. Calcular la velocidad media
Para calcular la velocidad media v de un vehículo, si conocemos la distancia d recorrida y la cantidad de tiempo t empleado, utilizamos la fórmula:

. Esta fórmula también nos permite calcular la distancia recorrida, si conocemos el tiempo y la velocidad media (d = v · t ), o el tiempo, si conocemos la distancia recorrida y la velocidad media

.
Cuando realices este tipo de cálculos debes tener cuidado y asegurarte de que estás usando las unidades de medida adecuadas, es decir, las del Sistema Internacional de unidades (SI): d en metros, t en segundos y v en m/s, o sus múltiplos (o submúltiplos) equivalentes: kilómetros, horas y km/h.
1. Ejemplo 1
Problema: un barco ha realizado una travesía de 28 km en 2 h 20 min. ¿Cuál ha sido su velocidad media?
Solución: el tiempo nos viene dado en horas y minutos.
Comenzaremos convirtiendo el tiempo en horas. Sabemos que 60 minutos es igual a 1 hora; pasaremos los 20 minutos a horas, usando lo que sabemos sobre proporcionalidad:

Si lo expresamos como proporción:

, de donde

, y despejando:

. Por tanto, 2 h y 20 min son 2,33 h.
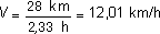
A continuación, introducimos los datos en la ecuación de la velocidad:

(d en km y t en h, por tanto, v vendrá expresada en km/h).
Reemplazamos d y t por sus valores y obtenemos:

La travesía fue realizada a una velocidad media de 12 km/h.
2. Ejemplo 2
Problema: Pedro recorre 8 km subiendo una colina en su bicicleta de montaña, con una velocidad media de 8 km/h. El descenso lo hace por la misma ruta, a una velocidad media de 32 km/h.
Por tanto, ¿cuál fue su velocidad media en su camino de ida y vuelta?
Solución:
—Antes de nada vamos a calcular el tiempo que ha invertido entre el viaje de ascenso y el de descenso. Para ello emplearemos la ecuación del tiempo:

. En la subida ha empleado:

. Mientras que en bajar solo ha tardado:

. En total ha empleado 1,25 h.
—La distancia recorrida en el camino de ida y vuelta es de 16 km (2 × 8 = 16).
—Para calcular la velocidad media del recorrido total, usaremos la fórmula:

(d está en km y t en h y, por tanto, v vendrá expresada en km/h). Reemplazamos d y t por sus valores, y obtenemos:

La velocidad media del recorrido de ida y vuelta fue de 12,8 km/h.
Nota: la velocidad media del recorrido no es la media aritmética de las dos velocidades medias (que erróneamente sería igual a

, o 20 km/h).
Ver también artículo Cambiar las unidades de velocidad.
II. Calcular una distancia
Problema: la velocidad de la luz en el vacío es, aproximadamente, de 300.000 km/s. La luz tarda alrededor de 8 minutos en llegar desde el Sol hasta la Tierra. ¿Cuál es la distancia que hay entre la Tierra y el Sol?
Solución:
—Debemos convertir el tiempo de 8 minutos en segundos:

Si lo expresamos como proporción:

, de donde

, y despejando:

segundos.
—Usamos la fórmula d = vt (v está en km/s, t está en s y, por tanto, d vendrá expresada en km). Reemplazamos v y t por sus valores, y obtenemos: d = 300.000 · 480 = 144.000.000. Es decir, la distancia de la Tierra al Sol es de unos 144 millones de kilómetros.
III. Calcular el tiempo
Problema: Emilia quiere recorrer andando una distancia de 15 km. Quiere llegar a las 16 h 30 min y tiene pensado caminar con una velocidad media de 4 km/h. ¿A qué hora debe salir?
Solución:
—Primero podemos calcular el tiempo que va a tardar en realizar el recorrido, usando la fórmula:

(d está en km y v en km/h; por tanto, t vendrá expresado en h); reemplazamos v y d por sus valores y obtenemos:

; es decir, el paseo durará tres horas y tres cuartos

.
—Ahora vamos a calcular a qué hora debe salir Emilia. 0,75 horas es lo mismo que 45 minutos; por tanto, para encontrar la respuesta debemos resolver esta resta: 16 h 30 min – 3 h 45 min, lo cual es lo mismo que restar 15 h 90 min – 3 h 45 min. Obtenemos un resultado de 12 h 45 min.
Emilia debe salir a las 12 h 45 min (o a la una menos cuarto) para llegar a las 16 h 30 min.
Proporcionalidad
Calcular y usar mapas o planos a escala
Calcular y utilizar porcentajes
Reconocer una relación de proporcionalidad
Resolver problemas de porcentajes
Resolver problemas de velocidad
Resolver problemas de velocidad es una habilidad esencial en física y en situaciones de la vida cotidiana donde se involucran movimientos y desplazamientos. La velocidad se define como el cambio de posición de un objeto por unidad de tiempo. A continuación, te mostraré cómo resolver problemas de velocidad:
Problemas de velocidad:
- Cálculo de la velocidad: Para calcular la velocidad de un objeto, utiliza la fórmula:Velocidad (V) = Distancia recorrida (D) / Tiempo transcurrido (T)La velocidad se expresa en unidades de distancia por unidad de tiempo, como metros por segundo (m/s) o kilómetros por hora (km/h).
Ejemplo de cálculo de velocidad:
Supongamos que un automóvil recorre una distancia de 200 kilómetros en un tiempo de 4 horas.
Paso 1: Utilizamos la fórmula de velocidad: Velocidad (V) = 200 km / 4 h
Paso 2: Realizamos la operación: V = 50 km/h
Resultado: La velocidad del automóvil es de 50 kilómetros por hora.
- Cálculo del tiempo de viaje: Para calcular el tiempo que tomará recorrer una distancia a una velocidad determinada, utiliza la fórmula:Tiempo (T) = Distancia recorrida (D) / Velocidad (V)
Ejemplo de cálculo del tiempo de viaje:
Si un ciclista desea recorrer 30 kilómetros a una velocidad de 15 km/h:
Paso 1: Utilizamos la fórmula del tiempo: Tiempo (T) = 30 km / 15 km/h
Paso 2: Realizamos la operación: T = 2 horas
Resultado: El ciclista tomará 2 horas para recorrer los 30 kilómetros.
Resolver problemas de velocidad es útil para planificar desplazamientos, analizar trayectorias de objetos en movimiento y comprender conceptos básicos de la física.