Si preguntamos a cualquier persona si una operación como esta: 2 × 3, puede tener varios resultados diferentes, seguramente nos responderá que no. Hasta ahora, estamos acostumbrados a obtener un único valor numérico como resultado de realizar cualquier operación aritmética. Pero ahora tendremos la oportunidad de demostrar que existe una operación que tiene dos posibles resultados distintos y que ambos son perfectamente válidos.
Pero, ¿cómo es posible obtener dos soluciones diferentes en una operación? ¿De qué operación se trata?
I. La raíz cuadrada
ç1. Definición
Es la operación inversa a elevar al cuadrado. Resolver la raíz cuadrada de un número a consiste en encontrar otro número b tal que b2 = a. Es decir, consiste en encontrar cuál es el número que multiplicado dos veces por sí mismo me da el valor de a.
Para expresar que queremos resolver la raíz cuadrada de un número, escribimos dicho número dentro del símbolo

, llamado radical. Al número que escribimos dentro lo llamaremos radicando, y al resultado de la operación lo denominaremos raíz.

Ejemplo: podemos decir que

porque 72 = 7 · 7 = 49.
2. Las soluciones de una raíz cuadrada
Todos sabemos que 32 = 3 × 3 = 9 y que (-3)2 = (-3) × (-3) = 9. Entonces, estamos viendo que la solución 9 puede ser el resultado del producto de dos números tan diferentes como 3 y -3.
Teniendo en cuenta lo que acabamos de exponer, hemos de aceptar que:

Es decir, toda raíz cuadrada tiene dos soluciones distintas y perfectamente válidas: una positiva y otra negativa.
Nota: si intentamos calcular la raíz cuadrada de un número negativo, comprobaremos que es imposible. Es decir, la raíz cuadrada de un número negativo no tiene solución —en el conjunto de los números reales. Vamos a verlo con un ejemplo:
Supongamos que queremos calcular

. Lo primero que se nos ocurre es multiplicar 5 por -5 para obtener -25. Pero entonces no estaríamos multiplicando un número por sí mismo, sino dos números distintos.
Conclusión:

no tiene solución porque no existe número alguno que al multiplicarlo por sí mismo nos dé -25.
II. Propiedades de las operaciones con raíces cuadradas
1. Propiedades
—La raíz cuadrada de un número al cuadrado es ese mismo número:

. Esto es así porque: a · a = a2.
Ejemplo:

. Porque: 6 · 6 = 62.
—La raíz cuadrada de un producto de dos o más números es igual al producto de las raíces cuadradas de cada uno de los factores:

Ejemplo: queremos calcular la raíz cuadrada de

, que podemos expresarla también como

. Y podemos resolverla de la siguiente manera:

Es importante observar que la igualdad anterior también es cierta si la resolvemos a la inversa, es decir:

Ejemplo:

.
—El cuadrado de la raíz cuadrada de un número es ese mismo número:

. Lo podemos afirmar porque:

Ejemplo:

.
—La raíz cuadrada del cociente de dos números es igual al cociente de las raíces cuadradas de cada uno de los números:

Ejemplo: la raíz cuadrada

se puede resolver así:

Pero también podemos hacerlo de la siguiente manera:

Es importante observar que esta igualdad también se cumple en sentido contrario, es decir:

Ejemplo:

2. Operaciones
Ejemplo 1: queremos simplificar

y

.
Aplicando las propiedades anteriores, podemos escribir:


Nota: estos ejemplos demuestran que el producto de dos números irracionales puede dar como resultado un número racional.
Ejemplo 2: queremos simplificar la expresión

.
Factorizamos los radicandos, y obtenemos:

Aplicamos propiedades:

Resolvemos cuadrados perfectos:

Sacamos a

como factor común:

Por tanto, resolviendo paréntesis, tenemos:

El resultado sería 0.
Ejemplo 3: queremos simplificar la expresión

.
Aplicando los productos notables:

Resolvemos cuadrados perfectos:


Y operando los enteros, tenemos que el valor exacto de B es:

.
III. Aplicaciones en geometría
Enunciado: digamos que ABCD es un rectángulo tal que su diagonal

y su lado

. Las longitudes están expresadas en centímetros. Queremos calcular el valor exacto de su lado DC y de esta manera obtener el área y el perímetro del rectángulo ABCD. Debemos mostrar los resultados de la forma más simplificada y exacta posible.
Solución: como ABCD es un rectángulo, el triángulo

es un triángulo rectángulo. Aplicamos el teorema de Pitágoras: AC² = AD² + DC² y sustituimos los datos:

Despejamos y resolvemos las raíces: DC² = 10 – 2 = 8. Como DC es una longitud, debe ser un número positivo; por lo tanto, el valor exacto de DC es

cm.
El perímetro del rectángulo ABCD sería: 2(AD + DC), esto es:

.
Pero podemos simplificar esta expresión tal como sigue:

Por tanto, el valor exacto del perímetro del rectángulo es

cm.
El área del rectángulo ABCD es: AD × DC, esto es:

. Y resolviendo:

Por lo tanto, el área exacta del rectángulo es 4 cm².
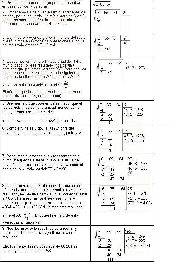
IV. Cálculo de la raíz cuadrada de un número natural
Vamos a describir el algoritmo de cálculo escribiendo una explicación escrita en la columna de la izquierda (en el esquema de abajo) y un ejemplo numérico en la columna derecha.
Debemos saber que la raíz cuadrada entera de un número n es el mayor número natural cuyo cuadrado es menor o igual a n. Así, la raíz entera de 6 es 2 porque 22 = 4 y 4 < 6, ya que el cuadrado de 3 es 9 y supera al 6.
Vamos a calcular la siguiente raíz cuadrada:


Raices
La raíz cuadrada algoritmo de cálculo propiedades y operaciones
Realizar operaciones con raíces cuadradas
La raíz cuadrada es una operación matemática que nos permite encontrar el número que, al ser multiplicado por sí mismo, da como resultado un número dado. Es el valor que "despeja" el exponente 2 de un número. La raíz cuadrada se representa con el símbolo √. A continuación, te mostraré cómo calcular la raíz cuadrada:
Cálculo de la raíz cuadrada:
Para calcular la raíz cuadrada de un número, puedes seguir estos pasos:
- Escribe el número del que deseas calcular la raíz cuadrada.
- Encuentra el número que, al ser multiplicado por sí mismo, sea igual al número dado.
Ejemplo de cálculo de la raíz cuadrada:
Calculemos la raíz cuadrada de 25:
Paso 1: Escribe el número: 25
Paso 2: Busca el número que, al ser multiplicado por sí mismo, sea igual a 25. En este caso, ese número es 5, ya que 5 * 5 = 25.
Resultado: La raíz cuadrada de 25 (√25) es igual a 5.
La raíz cuadrada es una operación fundamental en matemáticas y tiene muchas aplicaciones en ciencias, ingeniería y otros campos. Además de la raíz cuadrada, también existen otros tipos de raíces, como la raíz cúbica (∛) que implica encontrar el número que, al ser multiplicado por sí mismo tres veces, da como resultado el número dado.