Una función que contiene un término en el que la variable está elevada al cuadrado, o una función que es cociente de dos funciones afines se puede pasar a su forma “canónica” y expresarla como la composición de varios operadores, determinando los intervalos en los que cada uno de estos operadores es creciente o decreciente.
I. Estudio de una función con una incógnita elevada al cuadrado
Si en una función la incógnita está elevada al cuadrado, la función se escribe en forma canónica:
. Esta forma nos permite volver a escribir la función como la composición de una serie de operadores y hallar sus imágenes sucesivas.
Ejemplo:
Si f es el polinomio
, lo podemos expresar como
.
Buscamos ahora que dentro del paréntesis quede un cuadrado perfecto (el cuadrado de una suma). Para ello, desarrollamos:
.
Así pues, obtenemos: ![]()
o ![]()
por tanto,
.
Comprobamos que la función f, definida en el intervalo [-5, 2] como
, alcanza su valor mínimo f(x) = –3,5 cuando el paréntesis elevado al cuadrado es cero, lo que sucede para x = -1,5.
La tabla de variación es:
Completamos una tabla de valores para dibujar la curva:

II. Resolución de una ecuación o una inecuación con una incógnita elevada al cuadrado
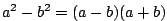
Para resolver una ecuación que contiene un término con la incógnita elevada al cuadrado, la convertimos en una expresión de la forma
. Puesto que al elevar al cuadrado dos números iguales, pero con signos opuestos se obtiene el mismo resultado,
es equivalente a
o
.
Ejemplo:
La expresión
equivale a x - 1 = 3, de donde x = 4, o a x - 1 = -3, de donde x = -2. El conjunto de soluciones es S = {-2, 4}.
Para resolver una inecuación que contiene un término con la incógnita elevada al cuadrado pasamos todos los términos a un miembro y, si es posible, factorizamos en producto de factores de primer grado.
Podemos entonces determinar el conjunto de soluciones usando una tabla de signos.
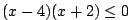
Ejemplo:
Para resolver
hacemos
.
Puesto que una diferencia de cuadrados es igual a suma por diferencia,
, tendremos:
, que queda
.
Usando una tabla de signos:
Vemos que el producto es negativo o cero en el intervalo [-2, 4], por tanto, S = [-2, 4].
.III. Estudio de una función cociente de dos funciones afines
Si una función es igual al cociente de dos funciones afines, la escribimos en forma canónica como
. Esta forma nos permite escribir la función como la composición de una serie de operadores y hallar sus imágenes sucesivas.
Ejemplo:
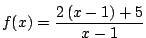
Si f es una función definida en [1,5, 6] como
, podemos escribir
, es decir,
.
La función f, definida en [1,5, 6] como
, es decreciente en todo su intervalo de definición, ya que al descomponerla en operadores,
, aparece la función inversa o recíproca, que es siempre decreciente.
Dibujamos la curva a partir de una tabla de valores:
IV. Resolución de una ecuación o una inecuación con la incógnita en el denominador
—En el caso de una ecuación, multiplicamos en cruz para eliminar los denominadores.
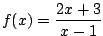
Ejemplo:
Si
, resolver la ecuación
es equivalente a resolver
.
Operando:
, o
, de donde x = 3.
El conjunto de soluciones es S = {3}.
—En el caso de una inecuación, pasamos todos los términos a un miembro y, si es posible, la expresamos como un cociente de factores de primer grado. A partir de ahí podemos deducir el conjunto de soluciones usando una tabla de signos.
Ejemplo:
Si
, resolver la inecuación
es equivalente a resolver
.
Reduciendo a común denominador, obtenemos:
, o
.
Finalmente, usamos una tabla de signos:
El cociente es negativo o cero en el intervalo (0, 3], de forma que
.
Recuerda
—La tabla de variación de una función con una incógnita elevada al cuadrado se construye a partir de la forma canónica
. Si
, el coeficiente del término elevado al cuadrado, es negativo, entonces
es un máximo y se alcanza para
. Si
es positivo, entonces
es un mínimo y también se alcanza para
.
—La ecuación
tiene dos soluciones:
o
.
—Para resolver una inecuación con la incógnita elevada al cuadrado, pasamos todos los términos a uno de los dos miembros de la inecuación. Descomponiendo la expresión resultante en factores de primer grado, podemos usar una tabla de signos para determinar el conjunto de soluciones.
—Para resolver una ecuación en la que la incógnita está en el denominador, multiplicamos en cruz, para eliminar los denominadores.
—Para resolver una inecuación con la incógnita en el denominador, pasamos todos los términos a un miembro. Expresando el numerador y el denominador como producto de factores de primer grado, podemos usar una tabla de signos para determinar el conjunto de soluciones. Tenemos que tener cuidado y excluir del conjunto de soluciones aquellos valores que anulan el denominador.
expresiones algebraicas
Funciones y cálculos con expresiones algebraicas
Simplificar expresiones algebraicas (1)
Simplificar expresiones algebraicas (2)
Simplificar expresiones del tipo (a+b)(c+d)
Usar los productos notables
Calcular el valor numérico de una expresión algebraica
Consideremos la siguiente expresión:
(2x^3 - 3x^2 + 5x) / (x^2 - 4)
Para resolverla, podemos realizar la división de polinomios utilizando la técnica de la división sintética o la división larga. En este caso, utilizaré la división sintética para simplificar la expresión.
Aplicando la división sintética, los coeficientes de los términos quedan de la siguiente manera:
2 | 2 -3 +5 +0 | 4 2 +14 ____________________ | 2 1 7 +14
La expresión simplificada queda entonces como:
2x + 1 + (7 / (x^2 - 4))
La parte final (7 / (x^2 - 4)) no se puede simplificar más, ya que el denominador x^2 - 4 es una diferencia de cuadrados que no tiene factores comunes.
Espero que este ejemplo te haya sido útil. Si tienes otra expresión que desees resolver o si tienes alguna otra pregunta sobre Álgebra, no dudes en decírmelo. ¡Estoy aquí para ayudarte en tus cálculos algebraicos!